> 160 URLs
WELCOME to williamson-labs.com   --SITE MAP  --INDEX --HOME
> 90 Subjects

C O M M U N I C A T I O N S

Link Budgets using:
D i g i t a l D o w n l i n k D i g i t a l U p l i n k

 

Link BudgetAnalysis

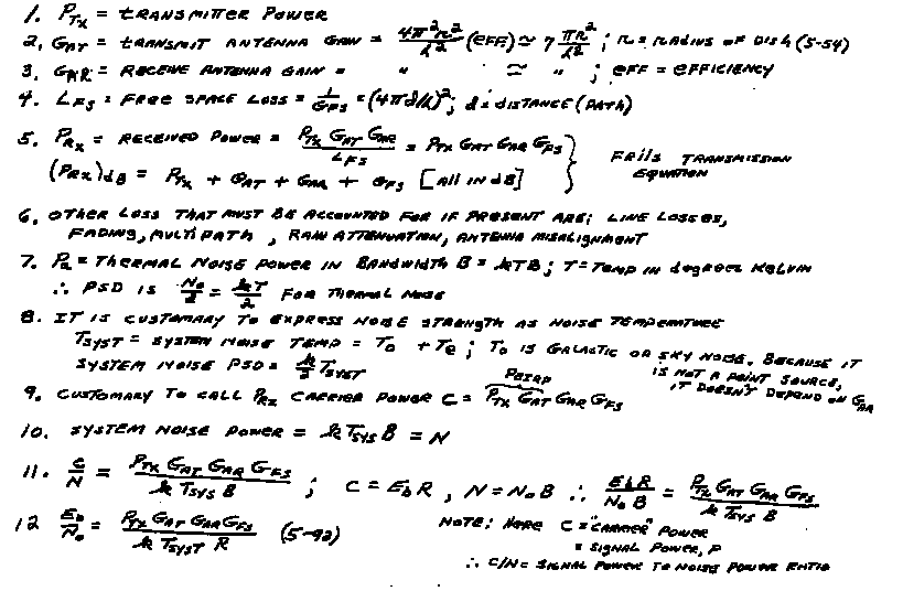
(See section 5-5 in Couch) 
(satellite example)

 

D i g i t a l D o w n l i n k


 

D i g i t a l U p l i n k


 
Under Construction in Perpetuity
 Copyright 1999 Web Author: Glen A. Williamson

Suggestions are Solicited, P l e a s e !